PS39
Emerg. Infect. Dis. 2025, 31, 896-905.
Features of Invasive Aspergillosis Caused by Aspergillus flavus, France, 2012-2018.
https://doi.org/10.3201/eid3105.241392
Cultural differences in attitudes towards surgical site infections among French anesthetists and surgeons in digestive surgery in 2022.
PS38
Antimicrob. Resist. Infect. Control. 2025, 14, 57.
Cultural differences in attitudes towards surgical site infections among French anesthetists and surgeons in digestive surgery in 2022.
https://doi.org/10.1186/s13756-025-01576-9
Evolution of the GP2A network over the past 30 years and annual conference locations.
PS37
J. Med. Chem. 2025, 68, 2045–2047.
Shaping future medicinal chemists: Perspectives from European schools of Pharmacy within the GP2A network.
https://doi.org/10.1021/acs.jmedchem.4c03103
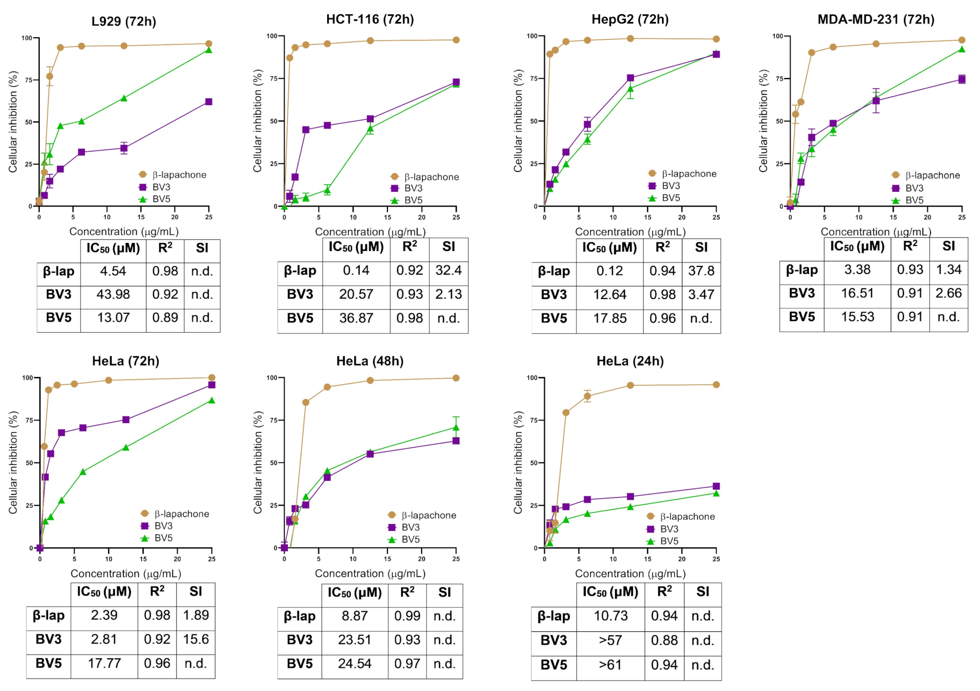
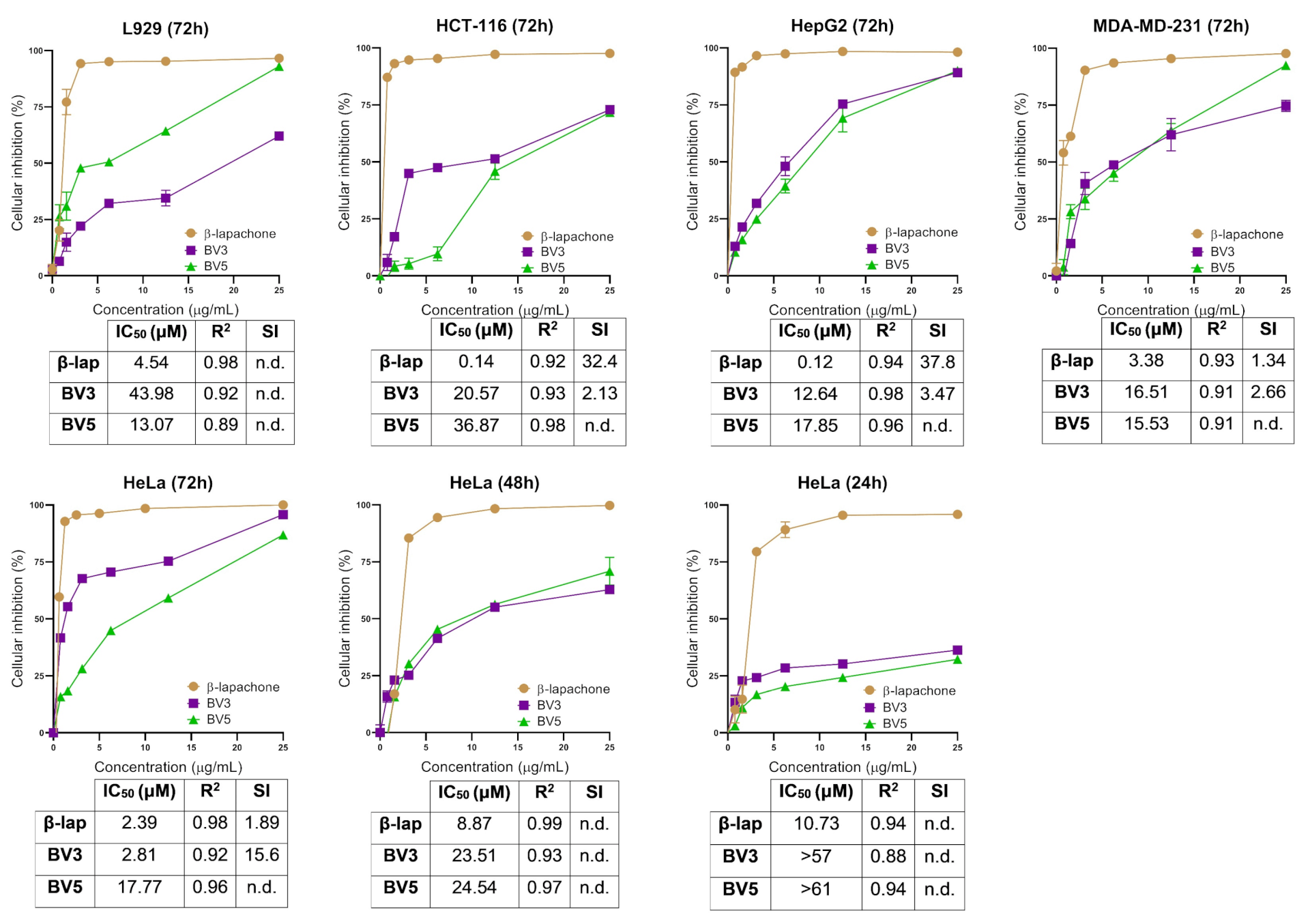
Cellular inhibition percentage of compounds BV3 and BV5 in the normal L929 cell line and the tumor cell lines HCT-116, HepG2, MDA-MD-231, and HeLa obtained through the MTT test.
PS36
Pharmaceuticals 2025, 18, 837.
New insights into the anticancer effects and toxicogenomic safety of two β-Lapachone derivatives.
https://doi.org/10.3390/ph18060837
Geographical distribution of NDM-producing K pneumoniae patients in the intensive care unit. NDM, New Delhi metallo-β-lactamase.
PS35
Am. J. Infect. Control. 2025, 53, 648–651.
Hospital outbreak of NDM-producing Klebsiella pneumoniae in a surgical intensive care unit: Sink traps as the causing source of epidemic strain resurgence.
https://doi.org/10.1016/j.ajic.2025.01.003
Systematic screening for EPC digestive carriage in repatriates and patients with past history of hospitalization abroad within one year at Nantes University Hospital admission.
PS34
Infect. Dis. Now. 2025, 55, 105021.
Epidemiological and bacteriological trends from 2013 to 2023 of carbapenemase-producing enterobacterales (CPE) in a French university hospital: A permanent risk of outbreak.
https://doi.org/10.1016/j.idnow.2024.105021
PS33
J. Hosp. Infect. 2024, 152, 182–184.
Luminous intensity and efficacy of the HUSKY-UV® mobile UVC-emitting robot: surface disinfection in the hospital setting applied to the SARS-CoV-2 model.
https://doi.org/10.1016/j.jhin.2024.07.015
PS32
J. Hosp. Infect. 2023, 131, 126–128.
Systematic screening for digestive carriage of extended-spectrum b-lactamase-producing Enterobacterales (E-ESBL) at hospital readmission among patients with past history of E-ESBL colonization or infection.
https://doi.org/10.1016/j.jhin.2022.10.004
PS31
Br. J. Surg. 2023, 110, 1567-1569.
The threat of antimicrobial resistance in surgical care : the surgeon's role and ownership of antimicrobial stewardship.
https://doi.org/10.1093/bjs/znad302
PS30
Pediart Infect Dis J 2023, 42(10):888-892.
Safety and Efficacy of Ceftaroline in Neonates With Staphylococcal Late-onset Sepsis: A Case Series Analysis.
PS29
J Antimicrob Chemother 2023, 78(3):853-854.
Comment on Population pharmacokinetics of the rilpivirine long-acting formulation after intramuscular dosing in healthy subjects and people living with HIV.
https://doi.org/10.1093/jac/dkad009
PS28
J Antimicrob Chemother 2023, 78(12):2919-2925.
Dalbavancin plasma concentrations in 133 patients: a PK/PD observational study.
https://doi.org/10.1093/jac/dkad331
PS27
Int J Antimicrob Agents 2023, 62(5):106960.
Expert Opinion on Dose Regimen and Therapeutic Drug Monitoring for Long-Term Use of Dalbavancin: Expert Review Panel.
https://doi.org/10.1016/j.ijantimicag.2023.106960
PS26
Br J Clin Pharmacol 2023.
Therapeutic drug monitoring and virological response at week 48 in a cohort ofHIV-1-infected patients switching to dolutegravir/rilpivirine dual maintenance therapy (ANRS-MIE-BIRIDER Study).
https://doi.org/10.1111/bcp.15890
PS25
J Antimicrob Chemother 2023, dkad094.
A multifaceted strategy to optimize pharmacokinetics of antimicrobial therapy in patients with hospital-acquired infections—a monocentre quality improvement project.
https://doi.org/10.1093/jac/dkad094
PS24
J Antimicrob Chemother 2023, 8, 965-974.
Development and validation of a dosing nomogram for continuous infusion cloxacillin in infective endocarditis.
https://doi.org/10.1093/jac/dkad030
PS23
Antibiotics 2023, 12, 123.
Development of a Predictive Dosing Nomogram to Achieve PK/PD Targets of Amikacin Initial Dose in Critically Ill Patients: A Non-Parametric Approach.
https://doi.org/10.3390/antibiotics12010123
PS22
Molbank, 2023
Potassium 6-oxo-7,13,16,22-tetraazatetracyclo[12.6.2.18,12.017,21]tricosa-1(20),8(23), 9,11,14,16,18,21-octaen-2-yne-15-carboxylate.
https://doi.org/10.3390/M1735
PS21
BJS, 2023, 110, 1567–1569.
The threat of antimicrobial resistance in surgical care: the surgeon’s role and ownership of antimicrobial stewardship.
https://doi.org/10.1093/bjs/znad302
Clustering and phenotyping of GZMB+Bregs. Schematic view of the study design from the cell preparation for scRNAseq.
PS20
Front. Immunol. 2023, 14, 1183714.
Human granzyme B regulatory B cells prevent effector CD4+CD25- T cell proliferation through a mechanism dependent from lymphotoxin alpha.
https://doi.org/10.3389/fimmu.2023.1183714