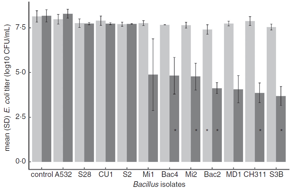
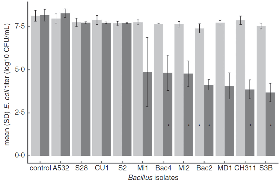
In vitro activity of Bacillus against ESBL-Escherichia coli.
P259
Appl. Microbiol. 2022, 132, 2270–2279.
In vitro and in vivo activity of new strains of Bacillus subtilis against ESBL‐producing Escherichia coli: an experimental study.
https://doi.org/10.1111/jam.15329
P258
Future Microbiol. 2022, 17, 1437-1443.
Otomycosis caused by the cryptic and emerging species Aspergillus sydowii: two case reports.
https://doi.org/10.2217/fmb-2022-0137
P257
Med. Mycol. 2022, 60, myac021.
GMC study group. Contribution of the anaerobic blood culture vial for the recovery of Candida glabrata: A retrospective multicentric study.
https://doi.org/10.1093/mmy/myac021
Evolution of the incidence of Enterobacteriaceae producing extended spectrum B-lactamase (E-ESBL) infections.
P256
Eur. J. Clin. Microbiol. Infect. Dis. 2022, 41, 1237-1243.
Retrospective analysis of a large single cohort of Enterobacteriaceae producing extended-spectrum B-lactamase (E-ESBL) patients: incidence, microbiology, and mortality.
https://doi.org/10.1007/s10096-022-04489-2
Invasive fungal diseases (IFDs) and related underlying conditions and their evolution (RESSIF network, France, 2012 to 2018).
P255
mBio. 2022, e0092022.
French mycoses study group. Active surveillance program to increase awareness on invasive fungal diseases: the French RESSIF network (2012 to 2018).
https://doi.org/10.1128/mbio.00920-22
Genome alignment of Diutina catenulata strains CBS565 and WY3-10-4.
P254
Mycopathologia. 2022, 187, 417-420.
De novo nanopore genome sequencing of the clinical Diutina catenulata type-strain CBS565.
https://doi.org/10.1007/s11046-022-00632-x
SNP-based unrooted phylogeny of 170 C. parapsilosis isolates.
P253
mBio. 2022, e0177722.
Systematic analysis of copy number variations in the pathogenic yeast Candida parapsilosis identifies a gene amplification in RTA3 that is associated with drug resistance.
https://doi.org/10.1128/mbio.01777-22
Representation of the phylogenetic tree associated with fluconazole minimal inhibitory concentrations (MICs) and epidemiological data of 45 strains of Diutina catenulata.
P252
Clin. Microbiol. Infect. 2022.
Acquired fluconazole resistance and genetic clustering in Diutina (Candida) catenulata from clinical samples.
https://doi.org/10.1016/j.cmi.2022.09.021
Colonies of P. blaschkeae (A) and P. bovis (B) microalgae strains grown on Sabouraud agar medium.
P251
Microorganisms. 2022, 10, 938.
Prototheca infections and ecology from a One Health perspective.
https://doi.org/10.3390/microorganisms10050938
P250
Phytochem. Lett. 2022, 50, 57-60.
Amino ether analogues of 4,4′-dihydroxy-3-methoxy-6,7′-cyclolignan and their activity against drug-resistant bacteria.
https://doi.org/10.1016/j.phytol.2022.05.004
Construction of CRISPR mutants for CgCRZ1.
P249
PLoS One 2022.
CRISPR-Cas9 approach confirms Calcineurin-responsive zinc finger 1 (Crz1) transcription factor as a promising therapeutic target in echinocandin-resistant Candida glabrata.
https://doi.org/10.1371/journal.pone.0265777
Macroscopic features of the Aspergillus flavus clinical isolate after five days on Sabouraud dextrose agar at 28 °C.
P248
Rev. Iberoam. Micol. 2022.
Lethal destructive sinusopathy due to amphotericin B-resistant Aspergillus flavus: A case report.
https://doi.org/10.1016/j.riam.2022.01.001
In vitro antifungal susceptibilities of 31 clinical Candida auris isolates, with categorical classification following US Centers for Disease Control and Prevention (CDC) cut-off values.
P247
Int. J. Antimicrob. Agents. 2022.
Head-to-head comparison of CLSI, EUCAST, Etest and Vitek2 results for Candida auris susceptibility testing.
https://doi.org/10.1016/j.ijantimicag.2022.106558
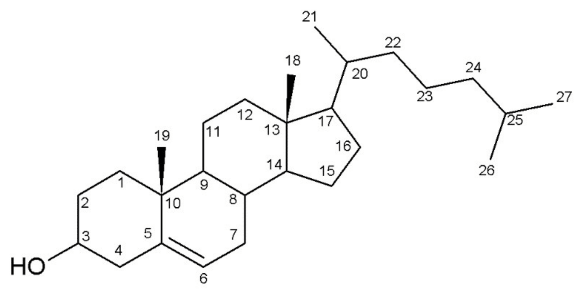
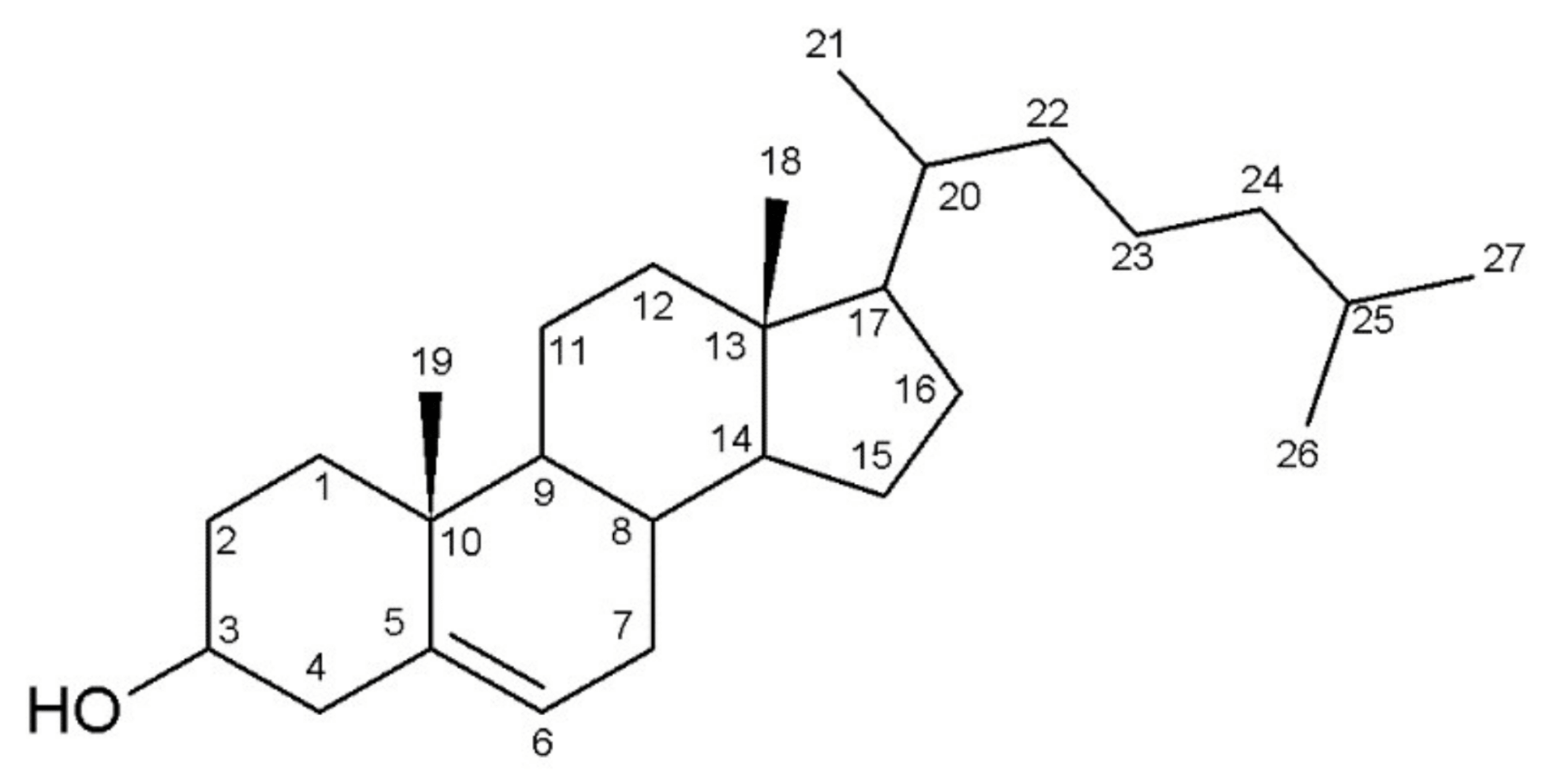
Basic structure of a sterol with standard carbon numbering according to the IUPAC.
P246
Microorganisms. 2022, 10, 104.
Impact of TR34/L98H, TR46/Y121F/T289A and TR53 alterations in azole‐resistant Aspergillus fumigatus on sterol composition and modifications after In Vitro exposure to itraconazole and voriconazole.
https://doi.org/10.3390/microorganisms10010104
Multiple alignments of Fks2 (β-1,3-glucan synthase catalytic subunit 2) nucleotide and amino acid sequences from C. glabrata resistant and susceptible strains.
P245
J. Antimicrob. Chemother. 2022, 77, 585–597.
Genotypic, proteomic, and phenotypic approaches to decipher the response to caspofungin and calcineurin inhibitors in clinical isolates of echinocandin-resistant Candida glabrata.
https://doi.org/10.1093/jac/dkab454
P244
Letter to the Editor, Quim. Nova 2022, 45, 1-3.
The Franco-Brazilian Network on Natural Products (FB2NP): a new network promoting cooperation and exchanges in natural products research.
https://doi.org/10.21577/0100-4042.20170847
Probability of survival according to pr/pb CAPA status.
P243
Lancet Respir. Med. 2022, 10, 180-190.
Fungal infections in mechanically ventilated patients with COVID-19 during the first wave: the French multicentre MYCOVID study.
https://doi.org/10.1016/S2213-2600(21)00442-2
P242
Mycoses 2022, 65, 303–311.
Collateral consequences of agricultural fungicides on pathogenic yeasts: a One Health perspective to tackle azole resistance.
https://doi.org/10.1111/myc.13404